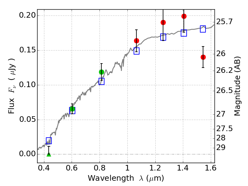
WHL0137-08 IR detection object #84

Color images and BPZ results
Catalog: 84.cat
Black segments are analyzed here.   Roll mouse over color images to view segments.
Best viewed in a wide browser window (1200 pixels or more).   Download SED & P(z) plots to view larger versions.
In P(z) plots: Yellow lines mark the cluster redshift z = 0.566,  

Object #84   x,y = (2739, 3360)   RA, Dec = (01:37:24.144, -8:26:30.12) = (24.35060, -8.44170)   BPZ = 0.122 [0.069--4.374]   type = 4.00 (Ell4_A_0)   chisq2 = 2.08   ODDS = 0.15   z_cluster = 0.566