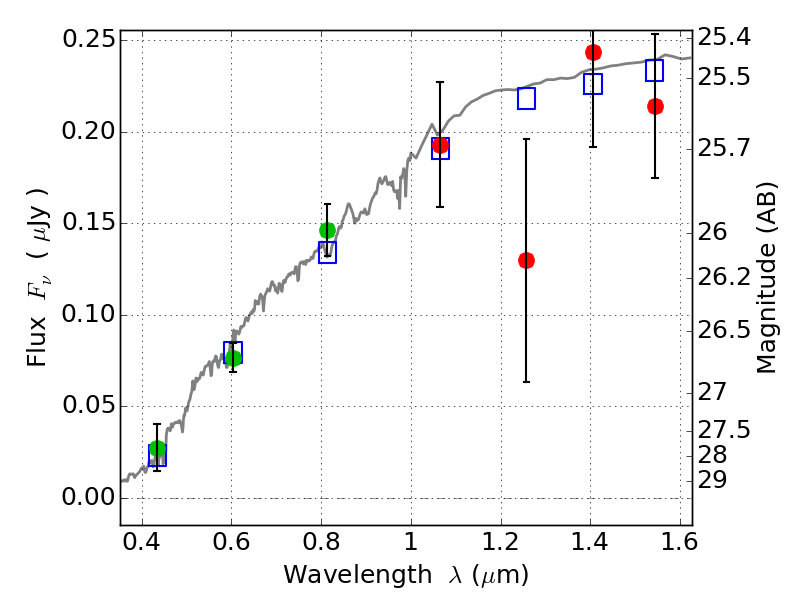
WHL0137-08 IR detection object #698

Color images and BPZ results
Catalog: 698.cat
Black segments are analyzed here.   Roll mouse over color images to view segments.
Best viewed in a wide browser window (1200 pixels or more).   Download SED & P(z) plots to view larger versions.
In P(z) plots: Yellow lines mark the cluster redshift z = 0.566,  

Object #698   x,y = (3532, 2267)   RA, Dec = (01:37:20.952, -8:27:35.64) = (24.33730, -8.45990)   BPZ = 0.138 [0.058--3.920]   type = 4.00 (Ell4_A_0)   chisq2 = 0.60   ODDS = 0.14   z_cluster = 0.566