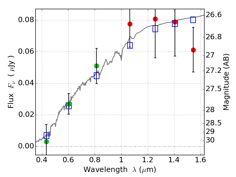
WHL0137-08 IR detection object #580

Color images and BPZ results
Catalog: 580.cat
Black segments are analyzed here.   Roll mouse over color images to view segments.
Best viewed in a wide browser window (1200 pixels or more).   Download SED & P(z) plots to view larger versions.
In P(z) plots: Yellow lines mark the cluster redshift z = 0.566,  

Object #580   x,y = (3224, 2487)   RA, Dec = (01:37:22.200, -8:27:22.32) = (24.34250, -8.45620)   BPZ = 0.173 [0.082--4.493]   type = 4.00 (Ell4_A_0)   chisq2 = 0.70   ODDS = 0.08   z_cluster = 0.566