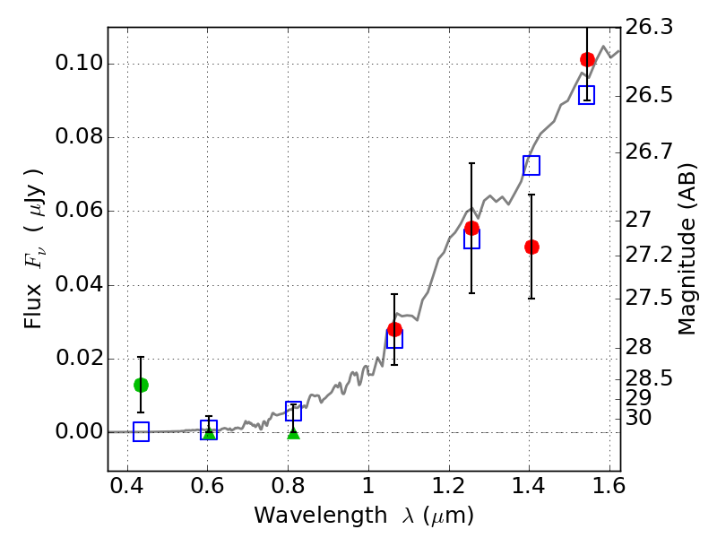
WHL0137-08 IR detection object #487

Color images and BPZ results
Catalog: 487.cat
Black segments are analyzed here.   Roll mouse over color images to view segments.
Best viewed in a wide browser window (1200 pixels or more).   Download SED & P(z) plots to view larger versions.
In P(z) plots: Yellow lines mark the cluster redshift z = 0.566,  

Object #487   x,y = (1675, 2626)   RA, Dec = (01:37:28.464, -8:27:14.04) = (24.36860, -8.45390)   BPZ = 1.617 [1.237--7.316]   type = 2.00 (Ell6_A_0)   chisq2 = 1.20   ODDS = 0.15   z_cluster = 0.566