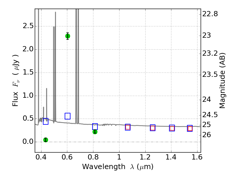
WHL0137-08 ACS+IR detection object #4827

Color images and BPZ results
Catalog: 4827.cat
Black segments are analyzed here.   Roll mouse over color images to view segments.
Best viewed in a wide browser window (1200 pixels or more).   Download SED & P(z) plots to view larger versions.
In P(z) plots: Yellow lines mark the cluster redshift z = 0.566,  

Object #4827   x,y = (3926, 1470)   RA, Dec = (01:37:19.344, -8:28:23.52) = (24.33060, -8.47320)   BPZ = 0.016 [0.010--0.033]   type = 11.00 (SB11_A_0_l)   chisq2 = 545.20   ODDS = 1.00   z_cluster = 0.566