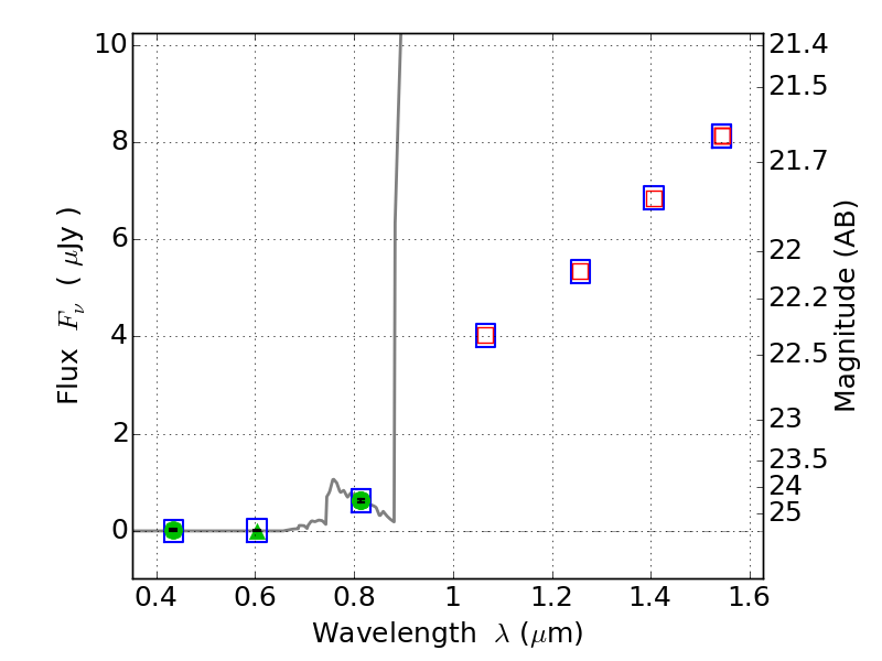
WHL0137-08 ACS+IR detection object #3748

Color images and BPZ results
Catalog: 3748.cat
Black segments are analyzed here.   Roll mouse over color images to view segments.
Best viewed in a wide browser window (1200 pixels or more).   Download SED & P(z) plots to view larger versions.
In P(z) plots: Yellow lines mark the cluster redshift z = 0.566,  

Object #3748   x,y = (314, 2130)   RA, Dec = (01:37:33.960, -8:27:43.92) = (24.39150, -8.46220)   BPZ = 6.254 [5.854--8.942]   type = 6.00 (Sbc_B10)   chisq2 = 0.00   ODDS = 0.38   z_cluster = 0.566