WHL0137-08 ACS+IR detection object #2157

Color images and BPZ results
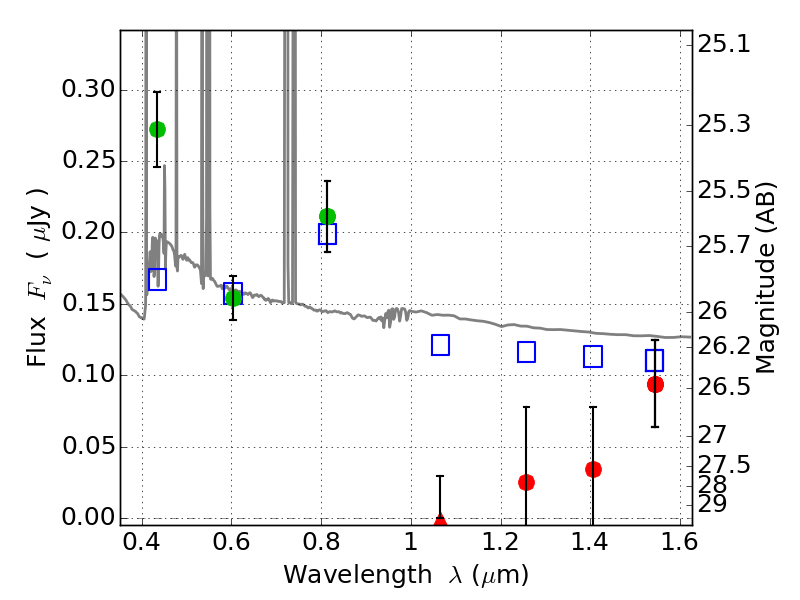
Catalog: 2157.cat
Black segments are analyzed here.   Roll mouse over color images to view segments.
Best viewed in a wide browser window (1200 pixels or more).   Download SED & P(z) plots to view larger versions.
In P(z) plots: Yellow lines mark the cluster redshift z = 0.566,  

Object #2157   x,y = (2555, 2888)   RA, Dec = (01:37:24.888, -8:26:58.20) = (24.35370, -8.44950)   BPZ = 0.097 [0.076--0.244]   type = 11.00 (SB11_A_0_l)   chisq2 = 4.82   ODDS = 0.75   z_cluster = 0.566