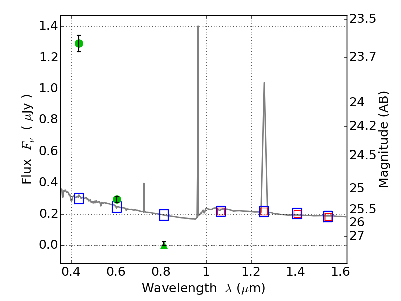
WHL0137-08 ACS+IR detection object #2144

Color images and BPZ results
Catalog: 2144.cat
Black segments are analyzed here.   Roll mouse over color images to view segments.
Best viewed in a wide browser window (1200 pixels or more).   Download SED & P(z) plots to view larger versions.
In P(z) plots: Yellow lines mark the cluster redshift z = 0.566,  

Object #2144   x,y = (4603, 2895)   RA, Dec = (01:37:16.608, -8:26:57.84) = (24.31920, -8.44940)   BPZ = 1.593 [1.507--1.977]   type = 11.00 (SB11_A_0_l)   chisq2 = 404.10   ODDS = 0.78   z_cluster = 0.566