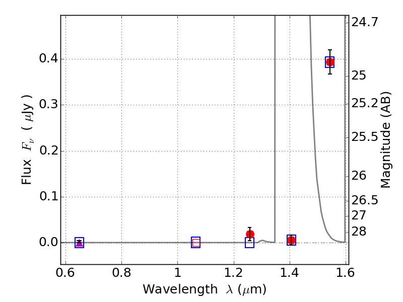
WHL0137-08-PAR IR detection object #894

Color images and BPZ results
Catalog: 894.cat
Black segments are analyzed here.   Roll mouse over color images to view segments.
Best viewed in a wide browser window (1200 pixels or more).   Download SED & P(z) plots to view larger versions.
In P(z) plots: Yellow lines mark the cluster redshift z = 0.566,  

Object #894   x,y = (1475, 2218)   RA, Dec = (01:37:05.712, -8:25:58.08) = (24.27380, -8.43280)   BPZ = 12.275 [12.071--12.969]   type = 10.40 (SB3_B10 - SB11_A_0_l)   stellarity = 0.99   chisq2 = 0.39   ODDS = 0.83   z_cluster = 0.566