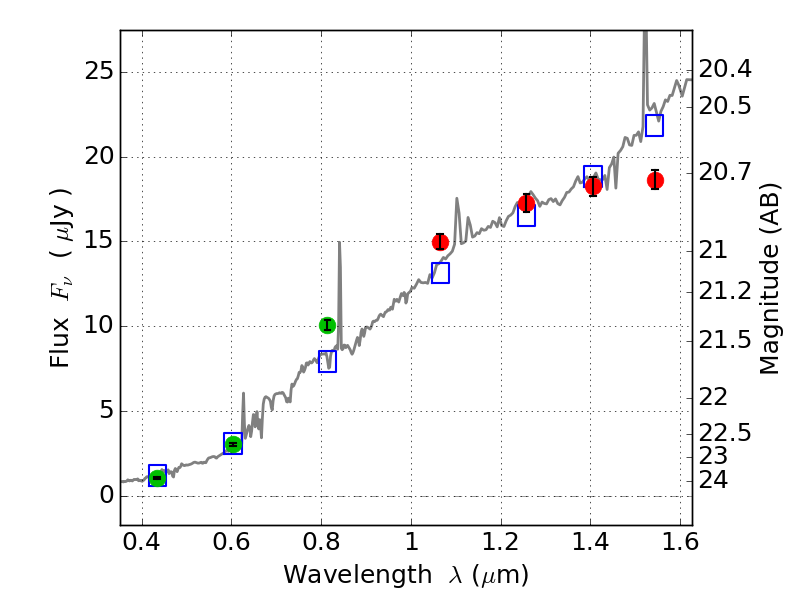
SPT0615-57 ACS+IR detection object #9115

Color images and BPZ results
Catalog: 9115.cat
Black segments are analyzed here.   Roll mouse over color images to view segments.
Best viewed in a wide browser window (1200 pixels or more).   Download SED & P(z) plots to view larger versions.
In P(z) plots: Yellow lines mark the cluster redshift z = 0.972,  

Object #9115   x,y = (5238, 6303)   RA, Dec = (06:15:59.184, -57:46:44.40) = (93.99660, -57.77900)   BPZ = 0.676 [0.512--0.713]   type = 6.40 (Sbc_B10 - Scd_B10)   stellarity = 0.98   chisq2 = 2.02   ODDS = 0.58   z_cluster = 0.972