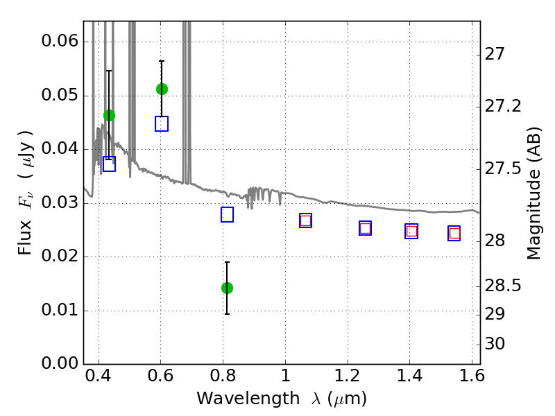
SPT0615-57 ACS+IR detection object #8619

Color images and BPZ results
Catalog: 8619.cat
Black segments are analyzed here.   Roll mouse over color images to view segments.
Best viewed in a wide browser window (1200 pixels or more).   Download SED & P(z) plots to view larger versions.
In P(z) plots: Yellow lines mark the cluster redshift z = 0.972,  

Object #8619   x,y = (7135, 6176)   RA, Dec = (06:15:44.952, -57:46:51.96) = (93.93730, -57.78110)   BPZ = 0.027 [0.028--2.707]   type = 11.00 (SB11_A_0_l)   stellarity = 0.48   chisq2 = 7.98   ODDS = 0.05   z_cluster = 0.972