SPT0615-57 ACS+IR detection object #7444

Color images and BPZ results
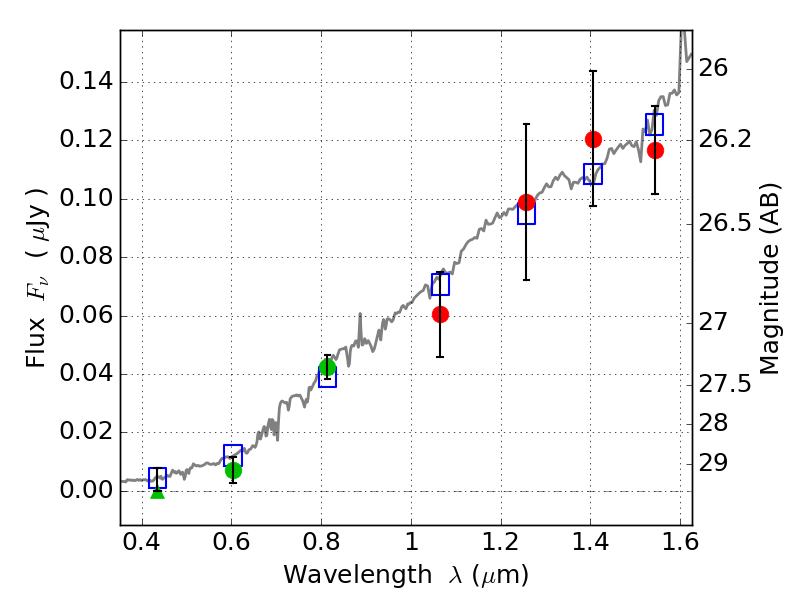
Catalog: 7444.cat
Black segments are analyzed here.   Roll mouse over color images to view segments.
Best viewed in a wide browser window (1200 pixels or more).   Download SED & P(z) plots to view larger versions.
In P(z) plots: Yellow lines mark the cluster redshift z = 0.972,  

Object #7444   x,y = (5615, 5824)   RA, Dec = (06:15:56.352, -57:47:13.20) = (93.98480, -57.78700)   BPZ = 0.775 [0.495--5.493]   type = 6.00 (Sbc_B10)   stellarity = 0.52   chisq2 = 0.36   ODDS = 0.33   z_cluster = 0.972