SPT0615-57 ACS+IR detection object #7196

Color images and BPZ results
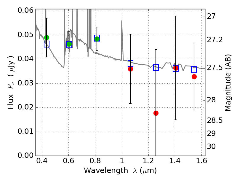
Catalog: 7196.cat
Black segments are analyzed here.   Roll mouse over color images to view segments.
Best viewed in a wide browser window (1200 pixels or more).   Download SED & P(z) plots to view larger versions.
In P(z) plots: Yellow lines mark the cluster redshift z = 0.972,  

Object #7196   x,y = (6958, 5728)   RA, Dec = (06:15:46.296, -57:47:18.96) = (93.94290, -57.78860)   BPZ = 0.531 [0.101--3.085]   type = 11.00 (SB11_A_0_l)   stellarity = 0.50   chisq2 = 0.17   ODDS = 0.08   z_cluster = 0.972