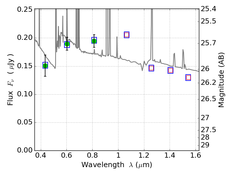
SPT0615-57 ACS+IR detection object #6891

Color images and BPZ results
Catalog: 6891.cat
Black segments are analyzed here.   Roll mouse over color images to view segments.
Best viewed in a wide browser window (1200 pixels or more).   Download SED & P(z) plots to view larger versions.
In P(z) plots: Yellow lines mark the cluster redshift z = 0.972,  

Object #6891   x,y = (8580, 5625)   RA, Dec = (06:15:34.104, -57:47:25.08) = (93.89210, -57.79030)   BPZ = 0.386 [0.170--3.075]   type = 10.80 (SB11_A_0_l - SB3_B10)   stellarity = 0.00   chisq2 = 0.01   ODDS = 0.10   z_cluster = 0.972