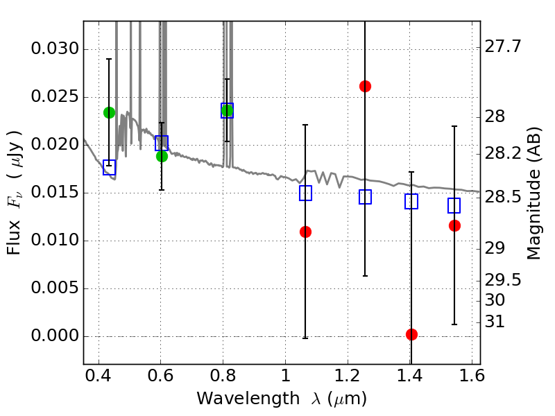
SPT0615-57 ACS+IR detection object #6833

Color images and BPZ results
Catalog: 6833.cat
Black segments are analyzed here.   Roll mouse over color images to view segments.
Best viewed in a wide browser window (1200 pixels or more).   Download SED & P(z) plots to view larger versions.
In P(z) plots: Yellow lines mark the cluster redshift z = 0.972,  

Object #6833   x,y = (5639, 5606)   RA, Dec = (06:15:56.184, -57:47:26.16) = (93.98410, -57.79060)   BPZ = 0.228 [0.102--3.132]   type = 11.00 (SB11_A_0_l)   stellarity = 0.50   chisq2 = 0.57   ODDS = 0.08   z_cluster = 0.972