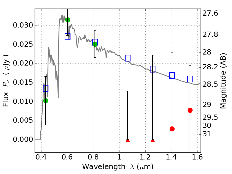
SPT0615-57 ACS+IR detection object #5957

Color images and BPZ results
Catalog: 5957.cat
Black segments are analyzed here.   Roll mouse over color images to view segments.
Best viewed in a wide browser window (1200 pixels or more).   Download SED & P(z) plots to view larger versions.
In P(z) plots: Yellow lines mark the cluster redshift z = 0.972,  

Object #5957   x,y = (6427, 5291)   RA, Dec = (06:15:50.256, -57:47:45.24) = (93.95940, -57.79590)   BPZ = 3.376 [0.134--3.744]   type = 11.00 (SB11_A_0_l)   stellarity = 0.08   chisq2 = 1.41   ODDS = 0.39   z_cluster = 0.972