SPT0615-57 ACS+IR detection object #2721

Color images and BPZ results
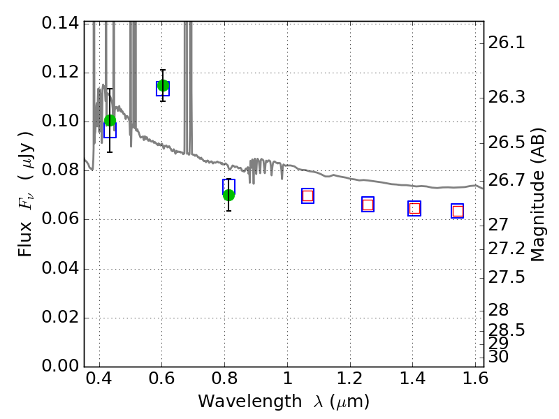
Catalog: 2721.cat
Black segments are analyzed here.   Roll mouse over color images to view segments.
Best viewed in a wide browser window (1200 pixels or more).   Download SED & P(z) plots to view larger versions.
In P(z) plots: Yellow lines mark the cluster redshift z = 0.972,  

Object #2721   x,y = (5944, 4183)   RA, Dec = (06:15:53.904, -57:48:51.48) = (93.97460, -57.81430)   BPZ = 0.033 [0.016--2.827]   type = 11.00 (SB11_A_0_l)   stellarity = 0.96   chisq2 = 0.20   ODDS = 0.25   z_cluster = 0.972