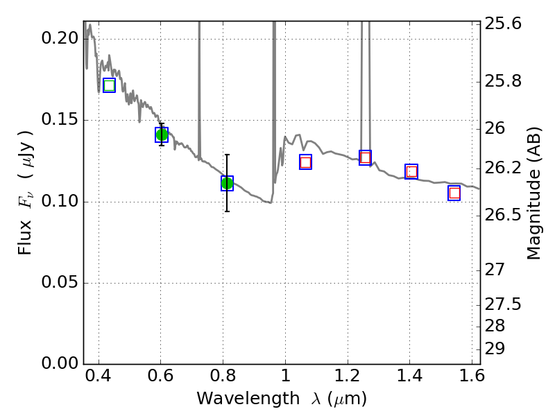
SPT0615-57 ACS+IR detection object #20740

Color images and BPZ results
Catalog: 20740.cat
Black segments are analyzed here.   Roll mouse over color images to view segments.
Best viewed in a wide browser window (1200 pixels or more).   Download SED & P(z) plots to view larger versions.
In P(z) plots: Yellow lines mark the cluster redshift z = 0.972,  

Object #20740   x,y = (6127, 9591)   RA, Dec = (06:15:52.512, -57:43:27.12) = (93.96880, -57.72420)   BPZ = 1.594 [0.393--3.315]   type = 11.00 (SB11_A_0_l)   stellarity = 0.97   chisq2 = 0.00   ODDS = 0.13   z_cluster = 0.972