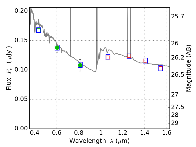
SPT0615-57 ACS+IR detection object #20313

Color images and BPZ results
Catalog: 20313.cat
Black segments are analyzed here.   Roll mouse over color images to view segments.
Best viewed in a wide browser window (1200 pixels or more).   Download SED & P(z) plots to view larger versions.
In P(z) plots: Yellow lines mark the cluster redshift z = 0.972,  

Object #20313   x,y = (7749, 9694)   RA, Dec = (06:15:40.368, -57:43:21.00) = (93.91820, -57.72250)   BPZ = 1.594 [1.228--3.151]   type = 11.00 (SB11_A_0_l)   stellarity = 0.13   chisq2 = 0.00   ODDS = 0.16   z_cluster = 0.972