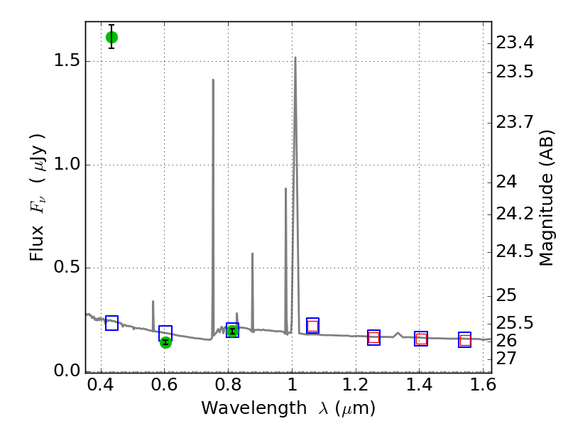
SPT0615-57 ACS+IR detection object #13102

Color images and BPZ results
Catalog: 13102.cat
Black segments are analyzed here.   Roll mouse over color images to view segments.
Best viewed in a wide browser window (1200 pixels or more).   Download SED & P(z) plots to view larger versions.
In P(z) plots: Yellow lines mark the cluster redshift z = 0.972,  

Object #13102   x,y = (4796, 7451)   RA, Dec = (06:16:02.496, -57:45:35.64) = (94.01040, -57.75990)   BPZ = 1.018 [0.920--1.172]   type = 11.00 (SB11_A_0_l)   stellarity = 0.99   chisq2 = 575.20   ODDS = 0.79   z_cluster = 0.972