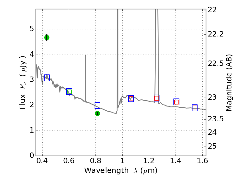
SPT0615-57 ACS+IR detection object #12957

Color images and BPZ results
Catalog: 12957.cat
Black segments are analyzed here.   Roll mouse over color images to view segments.
Best viewed in a wide browser window (1200 pixels or more).   Download SED & P(z) plots to view larger versions.
In P(z) plots: Yellow lines mark the cluster redshift z = 0.972,  

Object #12957   x,y = (4795, 7425)   RA, Dec = (06:16:02.496, -57:45:37.08) = (94.01040, -57.76030)   BPZ = 1.592 [1.567--1.695]   type = 11.00 (SB11_A_0_l)   stellarity = 0.71   chisq2 = 43.58   ODDS = 0.97   z_cluster = 0.972