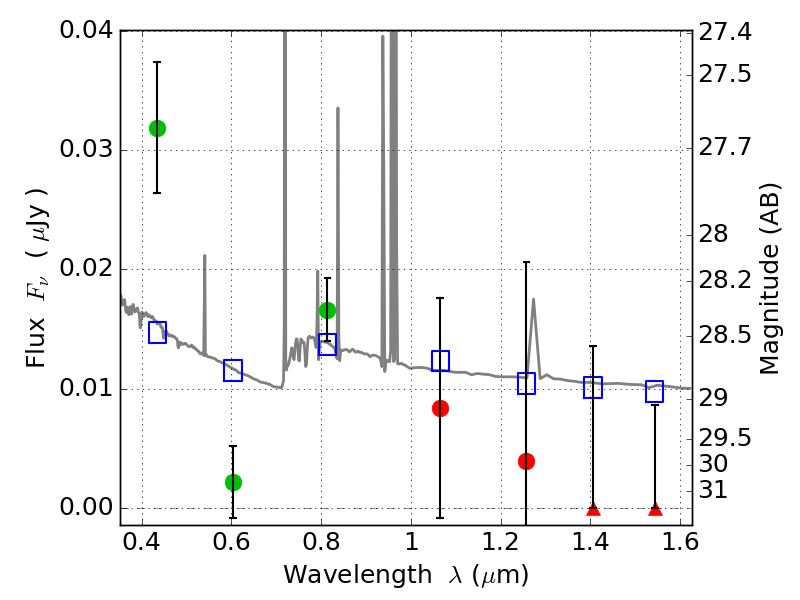
SPT0615-57 ACS+IR detection object #11078

Color images and BPZ results
Catalog: 11078.cat
Black segments are analyzed here.   Roll mouse over color images to view segments.
Best viewed in a wide browser window (1200 pixels or more).   Download SED & P(z) plots to view larger versions.
In P(z) plots: Yellow lines mark the cluster redshift z = 0.972,  

Object #11078   x,y = (5932, 6934)   RA, Dec = (06:15:53.976, -57:46:06.60) = (93.97490, -57.76850)   BPZ = 0.927 [0.115--2.463]   type = 11.00 (SB11_A_0_l)   stellarity = 0.36   chisq2 = 5.35   ODDS = 0.31   z_cluster = 0.972