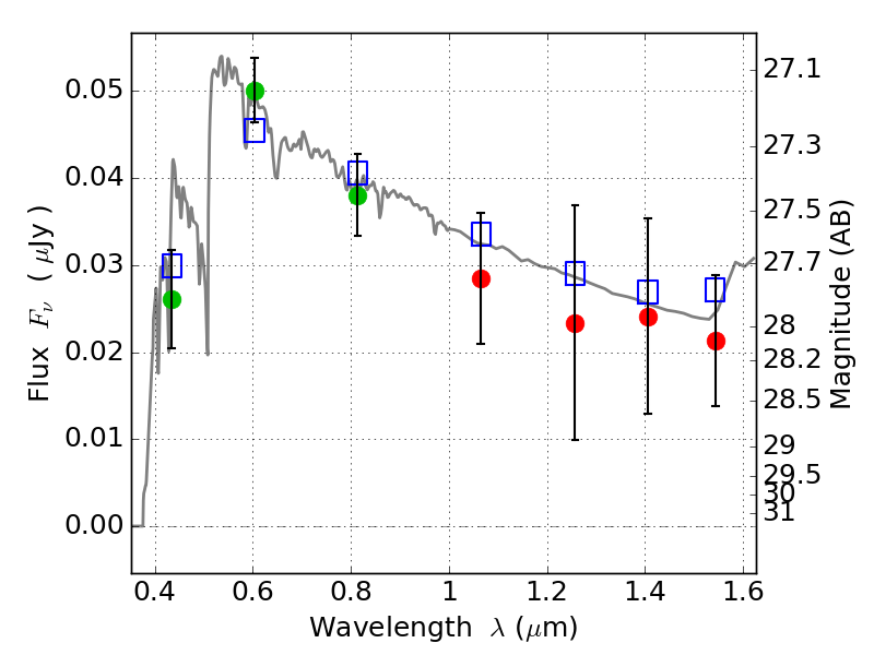
SPT0254-58 IR detection object #952

Color images and BPZ results
Catalog: 952.cat
Black segments are analyzed here.   Roll mouse over color images to view segments.
Best viewed in a wide browser window (1200 pixels or more).   Download SED & P(z) plots to view larger versions.
In P(z) plots: Yellow lines mark the cluster redshift z = 0.438,  

Object #952   x,y = (2447, 2001)   RA, Dec = (02:54:16.440, -58:57:44.28) = (43.56850, -58.96230)   BPZ = 3.179 [0.043--3.443]   type = 11.00 (SB11_A_0_l)   stellarity = 0.71   chisq2 = 0.66   ODDS = 0.60   z_cluster = 0.438