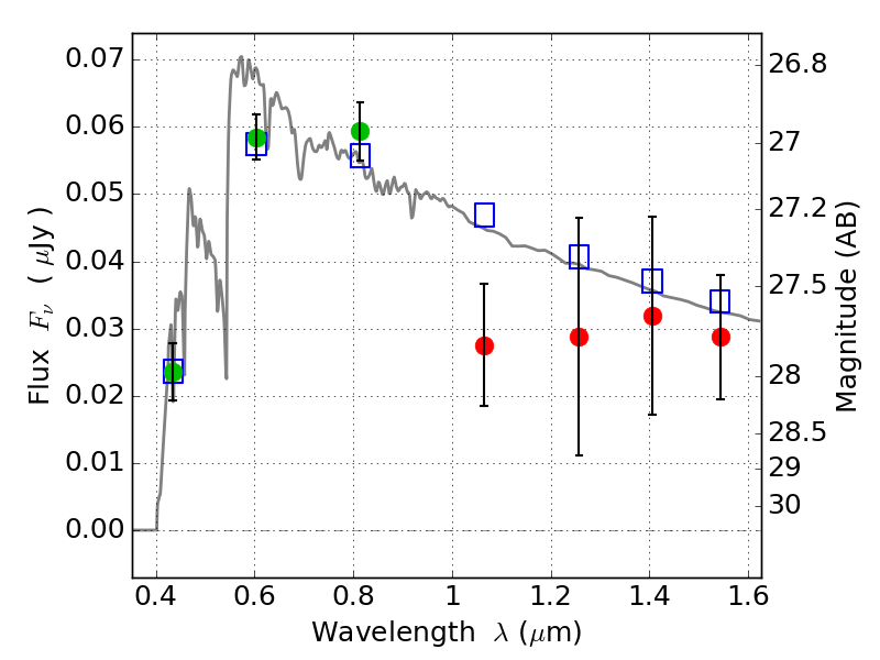
SPT0254-58 IR detection object #1209

Color images and BPZ results
Catalog: 1209.cat
Black segments are analyzed here.   Roll mouse over color images to view segments.
Best viewed in a wide browser window (1200 pixels or more).   Download SED & P(z) plots to view larger versions.
In P(z) plots: Yellow lines mark the cluster redshift z = 0.438,  

Object #1209   x,y = (2346, 1374)   RA, Dec = (02:54:17.208, -58:58:22.08) = (43.57170, -58.97280)   BPZ = 3.475 [3.281--3.606]   type = 11.00 (SB11_A_0_l)   stellarity = 0.68   chisq2 = 1.27   ODDS = 0.96   z_cluster = 0.438