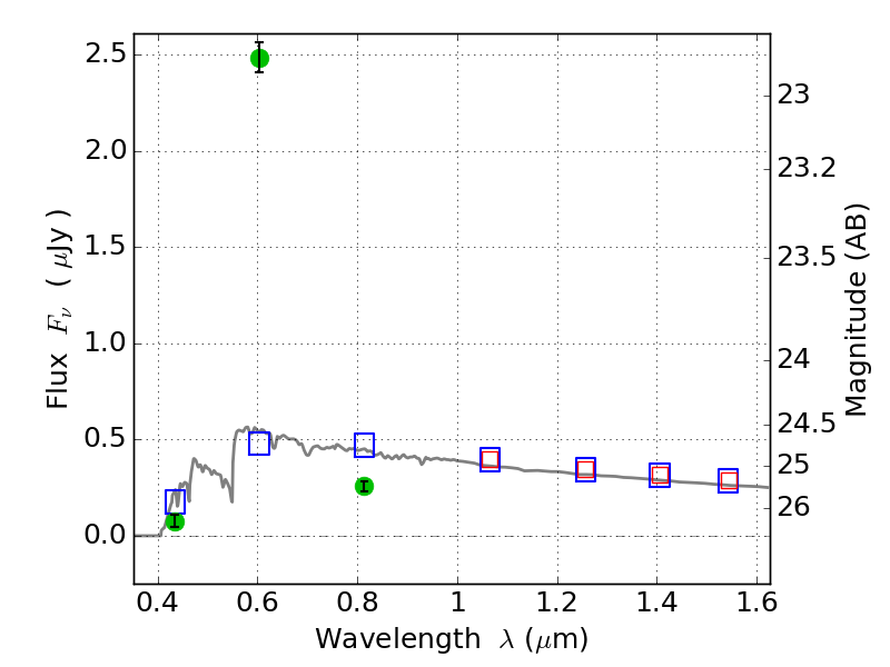
SPT0254-58 ACS+IR detection object #912

Color images and BPZ results
Catalog: 912.cat
Black segments are analyzed here.   Roll mouse over color images to view segments.
Best viewed in a wide browser window (1200 pixels or more).   Download SED & P(z) plots to view larger versions.
In P(z) plots: Yellow lines mark the cluster redshift z = 0.438,  

Object #912   x,y = (1544, 4016)   RA, Dec = (02:54:23.424, -58:55:43.68) = (43.59760, -58.92880)   BPZ = 3.520 [3.374--3.619]   type = 11.00 (SB11_A_0_l)   chisq2 = 631.50   ODDS = 0.99   z_cluster = 0.438