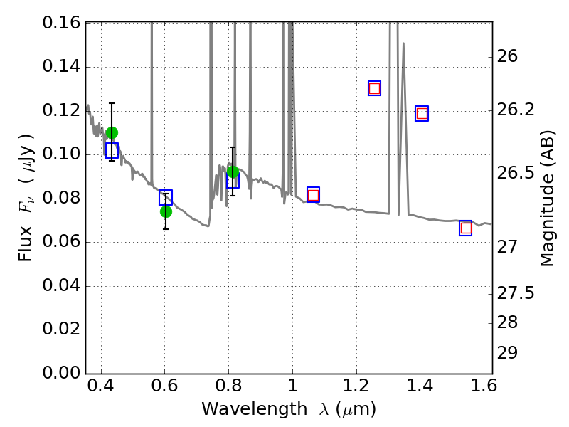
SPT0254-58 ACS+IR detection object #737

Color images and BPZ results
Catalog: 737.cat
Black segments are analyzed here.   Roll mouse over color images to view segments.
Best viewed in a wide browser window (1200 pixels or more).   Download SED & P(z) plots to view larger versions.
In P(z) plots: Yellow lines mark the cluster redshift z = 0.438,  

Object #737   x,y = (3409, 4129)   RA, Dec = (02:54:08.976, -58:55:36.84) = (43.53740, -58.92690)   BPZ = 1.004 [0.623--2.386]   type = 11.00 (SB11_A_0_l)   chisq2 = 0.64   ODDS = 0.24   z_cluster = 0.438