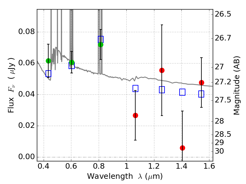
SPT0254-58 ACS+IR detection object #6170

Color images and BPZ results
Catalog: 6170.cat
Black segments are analyzed here.   Roll mouse over color images to view segments.
Best viewed in a wide browser window (1200 pixels or more).   Download SED & P(z) plots to view larger versions.
In P(z) plots: Yellow lines mark the cluster redshift z = 0.438,  

Object #6170   x,y = (2510, 1533)   RA, Dec = (02:54:15.936, -58:58:12.36) = (43.56640, -58.97010)   BPZ = 0.224 [0.081--3.085]   type = 11.00 (SB11_A_0_l)   chisq2 = 1.07   ODDS = 0.23   z_cluster = 0.438