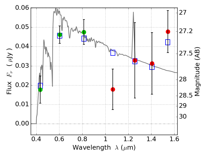
SPT0254-58 ACS+IR detection object #5938

Color images and BPZ results
Catalog: 5938.cat
Black segments are analyzed here.   Roll mouse over color images to view segments.
Best viewed in a wide browser window (1200 pixels or more).   Download SED & P(z) plots to view larger versions.
In P(z) plots: Yellow lines mark the cluster redshift z = 0.438,  

Object #5938   x,y = (2749, 1438)   RA, Dec = (02:54:14.088, -58:58:18.12) = (43.55870, -58.97170)   BPZ = 3.453 [0.291--3.732]   type = 11.00 (SB11_A_0_l)   chisq2 = 0.89   ODDS = 0.56   z_cluster = 0.438