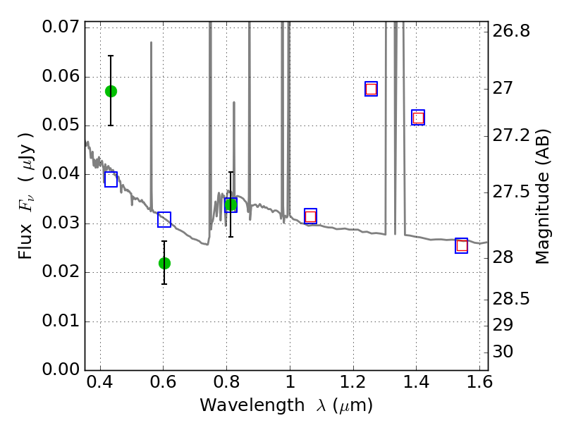
SPT0254-58 ACS+IR detection object #4901

Color images and BPZ results
Catalog: 4901.cat
Black segments are analyzed here.   Roll mouse over color images to view segments.
Best viewed in a wide browser window (1200 pixels or more).   Download SED & P(z) plots to view larger versions.
In P(z) plots: Yellow lines mark the cluster redshift z = 0.438,  

Object #4901   x,y = (1175, 1962)   RA, Dec = (02:54:26.304, -58:57:46.80) = (43.60960, -58.96300)   BPZ = 1.006 [0.745--2.398]   type = 11.00 (SB11_A_0_l)   chisq2 = 7.26   ODDS = 0.22   z_cluster = 0.438