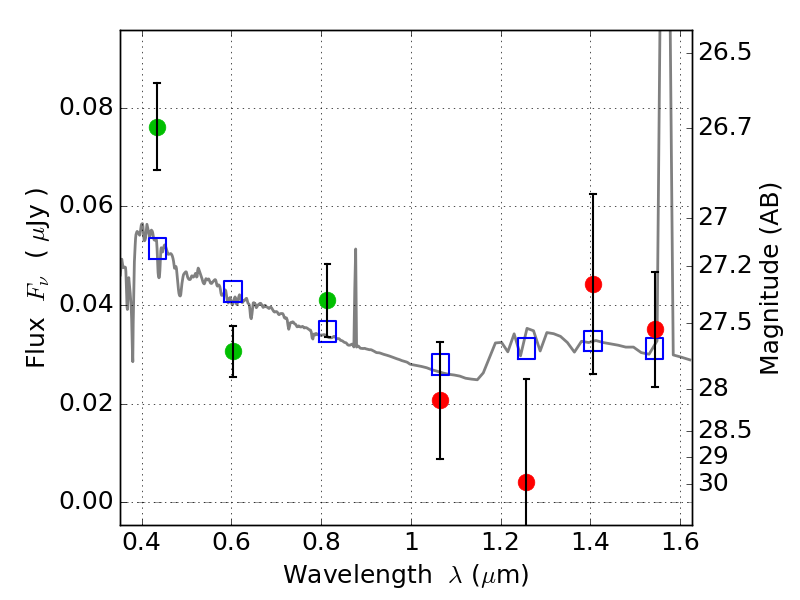
SPT0254-58 ACS+IR detection object #4622

Color images and BPZ results
Catalog: 4622.cat
Black segments are analyzed here.   Roll mouse over color images to view segments.
Best viewed in a wide browser window (1200 pixels or more).   Download SED & P(z) plots to view larger versions.
In P(z) plots: Yellow lines mark the cluster redshift z = 0.438,  

Object #4622   x,y = (1740, 2107)   RA, Dec = (02:54:21.912, -58:57:38.16) = (43.59130, -58.96060)   BPZ = 2.135 [0.857--2.503]   type = 11.00 (SB11_A_0_l)   chisq2 = 3.44   ODDS = 0.33   z_cluster = 0.438