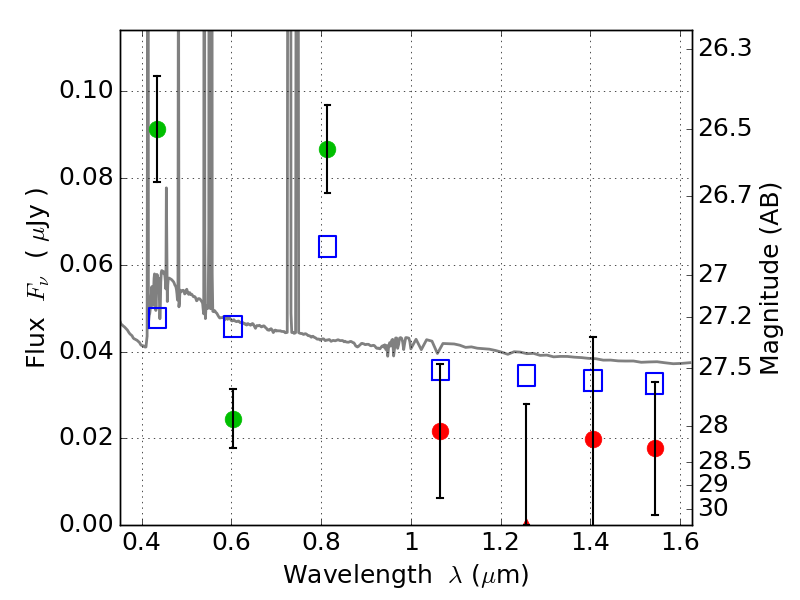
SPT0254-58 ACS+IR detection object #3944

Color images and BPZ results
Catalog: 3944.cat
Black segments are analyzed here.   Roll mouse over color images to view segments.
Best viewed in a wide browser window (1200 pixels or more).   Download SED & P(z) plots to view larger versions.
In P(z) plots: Yellow lines mark the cluster redshift z = 0.438,  

Object #3944   x,y = (2770, 2393)   RA, Dec = (02:54:13.920, -58:57:20.88) = (43.55800, -58.95580)   BPZ = 0.109 [0.085--0.999]   type = 11.00 (SB11_A_0_l)   chisq2 = 6.52   ODDS = 0.58   z_cluster = 0.438