SPT0254-58 ACS+IR detection object #3899

Color images and BPZ results
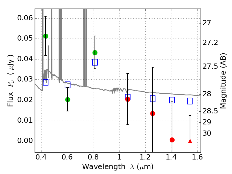
Catalog: 3899.cat
Black segments are analyzed here.   Roll mouse over color images to view segments.
Best viewed in a wide browser window (1200 pixels or more).   Download SED & P(z) plots to view larger versions.
In P(z) plots: Yellow lines mark the cluster redshift z = 0.438,  

Object #3899   x,y = (2767, 2411)   RA, Dec = (02:54:13.944, -58:57:19.80) = (43.55810, -58.95550)   BPZ = 0.109 [0.087--2.624]   type = 11.00 (SB11_A_0_l)   chisq2 = 2.58   ODDS = 0.19   z_cluster = 0.438