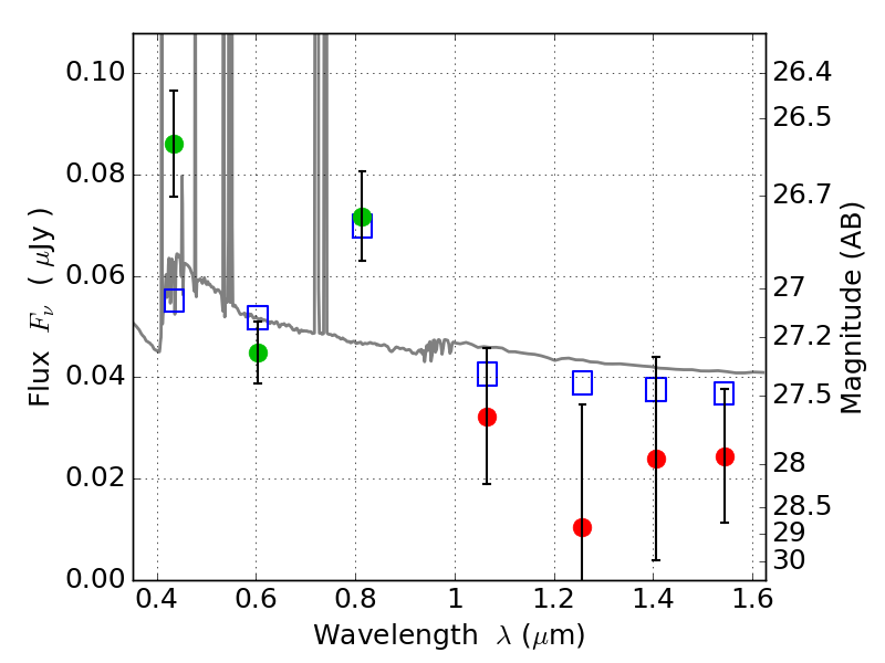
SPT0254-58 ACS+IR detection object #3673

Color images and BPZ results
Catalog: 3673.cat
Black segments are analyzed here.   Roll mouse over color images to view segments.
Best viewed in a wide browser window (1200 pixels or more).   Download SED & P(z) plots to view larger versions.
In P(z) plots: Yellow lines mark the cluster redshift z = 0.438,  

Object #3673   x,y = (3247, 2490)   RA, Dec = (02:54:10.224, -58:57:15.12) = (43.54260, -58.95420)   BPZ = 0.099 [0.083--2.453]   type = 11.00 (SB11_A_0_l)   chisq2 = 2.75   ODDS = 0.34   z_cluster = 0.438