SPT0254-58 ACS+IR detection object #3386

Color images and BPZ results
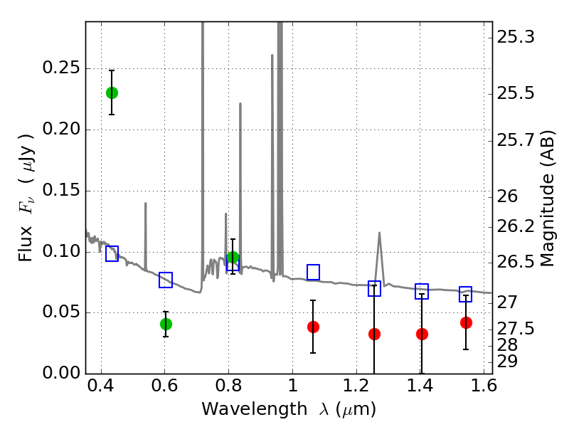
Catalog: 3386.cat
Black segments are analyzed here.   Roll mouse over color images to view segments.
Best viewed in a wide browser window (1200 pixels or more).   Download SED & P(z) plots to view larger versions.
In P(z) plots: Yellow lines mark the cluster redshift z = 0.438,  

Object #3386   x,y = (2509, 2703)   RA, Dec = (02:54:15.936, -58:57:02.52) = (43.56640, -58.95070)   BPZ = 0.928 [0.815--2.315]   type = 11.00 (SB11_A_0_l)   chisq2 = 15.69   ODDS = 0.29   z_cluster = 0.438