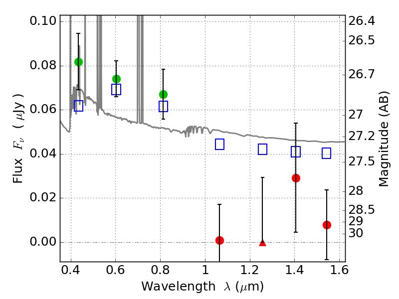
SPT0254-58 ACS+IR detection object #3064

Color images and BPZ results
Catalog: 3064.cat
Black segments are analyzed here.   Roll mouse over color images to view segments.
Best viewed in a wide browser window (1200 pixels or more).   Download SED & P(z) plots to view larger versions.
In P(z) plots: Yellow lines mark the cluster redshift z = 0.438,  

Object #3064   x,y = (3408, 2849)   RA, Dec = (02:54:08.976, -58:56:53.52) = (43.53740, -58.94820)   BPZ = 0.068 [0.032--2.949]   type = 11.00 (SB11_A_0_l)   chisq2 = 3.85   ODDS = 0.19   z_cluster = 0.438