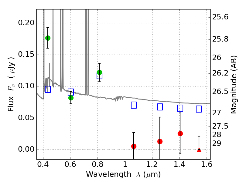
SPT0254-58 ACS+IR detection object #2694

Color images and BPZ results
Catalog: 2694.cat
Black segments are analyzed here.   Roll mouse over color images to view segments.
Best viewed in a wide browser window (1200 pixels or more).   Download SED & P(z) plots to view larger versions.
In P(z) plots: Yellow lines mark the cluster redshift z = 0.438,  

Object #2694   x,y = (3383, 2993)   RA, Dec = (02:54:09.168, -58:56:44.88) = (43.53820, -58.94580)   BPZ = 0.095 [0.078--2.488]   type = 11.00 (SB11_A_0_l)   chisq2 = 10.05   ODDS = 0.40   z_cluster = 0.438