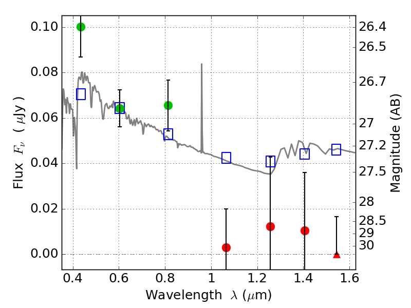
SPT0254-58 ACS+IR detection object #2647

Color images and BPZ results
Catalog: 2647.cat
Black segments are analyzed here.   Roll mouse over color images to view segments.
Best viewed in a wide browser window (1200 pixels or more).   Download SED & P(z) plots to view larger versions.
In P(z) plots: Yellow lines mark the cluster redshift z = 0.438,  

Object #2647   x,y = (3401, 2998)   RA, Dec = (02:54:09.024, -58:56:44.52) = (43.53760, -58.94570)   BPZ = 2.431 [0.058--2.724]   type = 11.00 (SB11_A_0_l)   chisq2 = 5.06   ODDS = 0.28   z_cluster = 0.438