SPT0254-58 ACS+IR detection object #2629

Color images and BPZ results
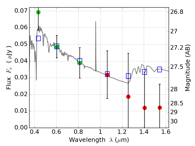
Catalog: 2629.cat
Black segments are analyzed here.   Roll mouse over color images to view segments.
Best viewed in a wide browser window (1200 pixels or more).   Download SED & P(z) plots to view larger versions.
In P(z) plots: Yellow lines mark the cluster redshift z = 0.438,  

Object #2629   x,y = (3379, 3003)   RA, Dec = (02:54:09.192, -58:56:44.16) = (43.53830, -58.94560)   BPZ = 2.432 [0.084--2.794]   type = 11.00 (SB11_A_0_l)   chisq2 = 1.41   ODDS = 0.21   z_cluster = 0.438