SPT0254-58 ACS+IR detection object #2266

Color images and BPZ results
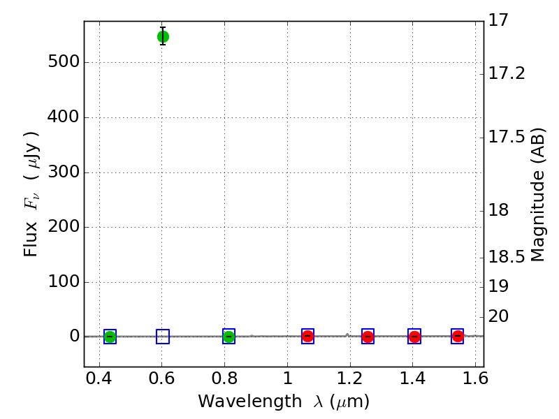
Catalog: 2266.cat
Black segments are analyzed here.   Roll mouse over color images to view segments.
Best viewed in a wide browser window (1200 pixels or more).   Download SED & P(z) plots to view larger versions.
In P(z) plots: Yellow lines mark the cluster redshift z = 0.438,  

Object #2266   x,y = (3160, 2803)   RA, Dec = (02:54:10.896, -58:56:56.40) = (43.54540, -58.94900)   BPZ = 1.376 [1.313--1.390]   type = 9.20 (SB2_B10 - SB3_B10)   chisq2 = 296.10   ODDS = 1.00   z_cluster = 0.438