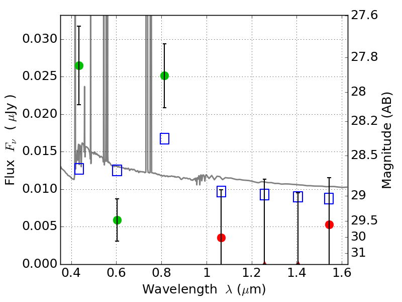
SPT0254-58 ACS+IR detection object #2107

Color images and BPZ results
Catalog: 2107.cat
Black segments are analyzed here.   Roll mouse over color images to view segments.
Best viewed in a wide browser window (1200 pixels or more).   Download SED & P(z) plots to view larger versions.
In P(z) plots: Yellow lines mark the cluster redshift z = 0.438,  

Object #2107   x,y = (3320, 3251)   RA, Dec = (02:54:09.672, -58:56:29.40) = (43.54030, -58.94150)   BPZ = 0.117 [0.091--2.637]   type = 11.00 (SB11_A_0_l)   chisq2 = 4.44   ODDS = 0.23   z_cluster = 0.438