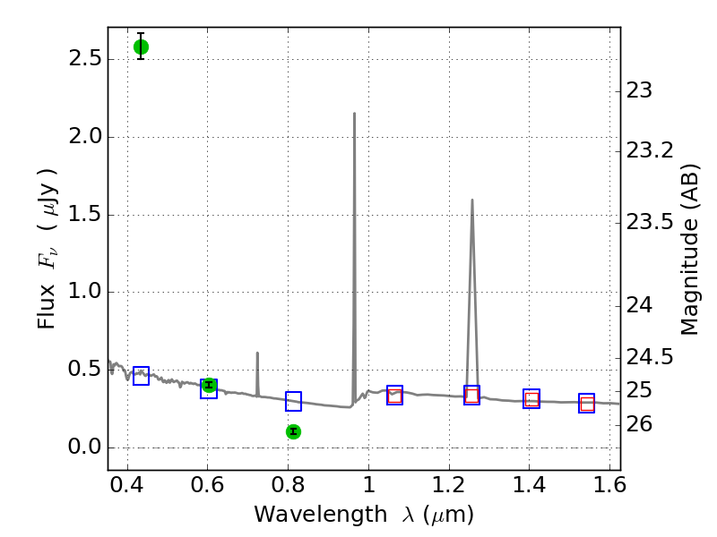
SPT0254-58 ACS+IR detection object #158

Color images and BPZ results
Catalog: 158.cat
Black segments are analyzed here.   Roll mouse over color images to view segments.
Best viewed in a wide browser window (1200 pixels or more).   Download SED & P(z) plots to view larger versions.
In P(z) plots: Yellow lines mark the cluster redshift z = 0.438,  

Object #158   x,y = (3241, 4570)   RA, Dec = (02:54:10.272, -58:55:10.20) = (43.54280, -58.91950)   BPZ = 1.593 [1.525--1.927]   type = 11.00 (SB11_A_0_l)   chisq2 = 610.60   ODDS = 0.85   z_cluster = 0.438