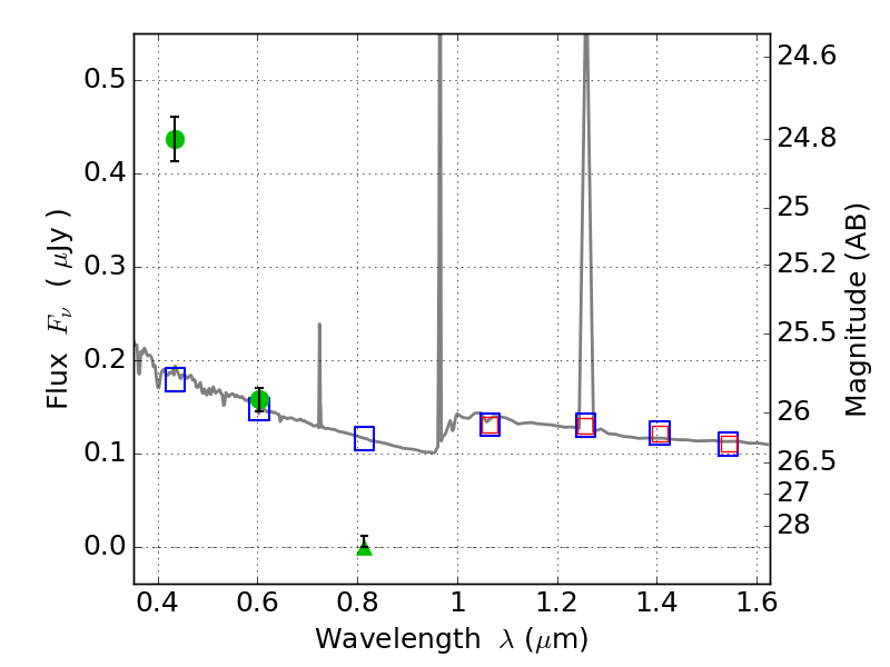
SPT0254-58 ACS+IR detection object #1120

Color images and BPZ results
Catalog: 1120.cat
Black segments are analyzed here.   Roll mouse over color images to view segments.
Best viewed in a wide browser window (1200 pixels or more).   Download SED & P(z) plots to view larger versions.
In P(z) plots: Yellow lines mark the cluster redshift z = 0.438,  

Object #1120   x,y = (1267, 3945)   RA, Dec = (02:54:25.584, -58:55:47.64) = (43.60660, -58.92990)   BPZ = 1.593 [1.461--2.070]   type = 11.00 (SB11_A_0_l)   chisq2 = 138.70   ODDS = 0.62   z_cluster = 0.438