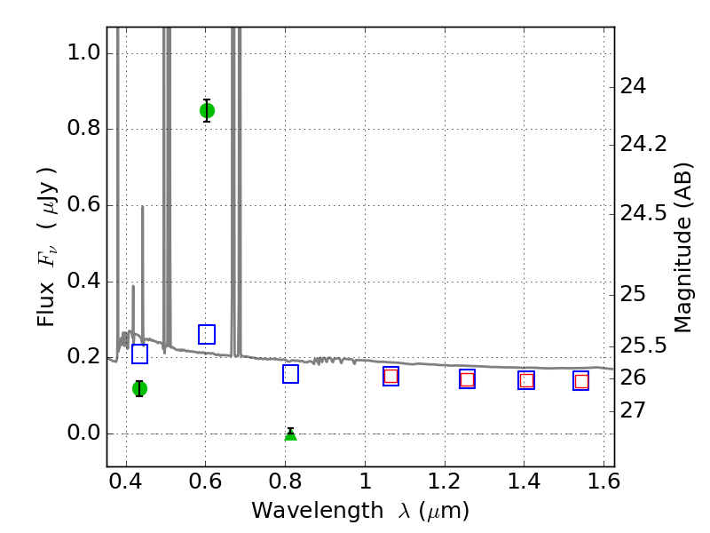
SPT0254-58 ACS+IR detection object #110

Color images and BPZ results
Catalog: 110.cat
Black segments are analyzed here.   Roll mouse over color images to view segments.
Best viewed in a wide browser window (1200 pixels or more).   Download SED & P(z) plots to view larger versions.
In P(z) plots: Yellow lines mark the cluster redshift z = 0.438,  

Object #110   x,y = (3460, 4601)   RA, Dec = (02:54:08.568, -58:55:08.40) = (43.53570, -58.91900)   BPZ = 0.016 [0.010--0.032]   type = 11.00 (SB11_A_0_l)   chisq2 = 369.10   ODDS = 1.00   z_cluster = 0.438