RXS0603+42-S IR detection object #744

Color images and BPZ results
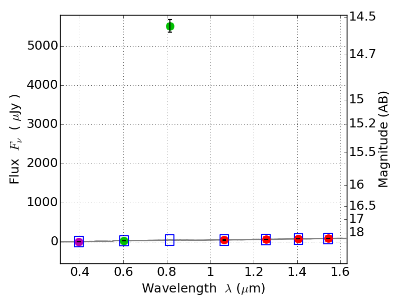
Catalog: 744.cat
Black segments are analyzed here.   Roll mouse over color images to view segments.
Best viewed in a wide browser window (1200 pixels or more).   Download SED & P(z) plots to view larger versions.
In P(z) plots: Yellow lines mark the cluster redshift z = 0.228,  

Object #744   x,y = (1703, 1950)   RA, Dec = (06:03:30.720, 42:09:23.40) = (90.87800, 42.15650)   BPZ = 3.521 [3.482--3.566]   type = 7.50 (SB1_B10 - Scd_B10)   stellarity = 0.03   chisq2 = 283.30   ODDS = 1.00   z_cluster = 0.228