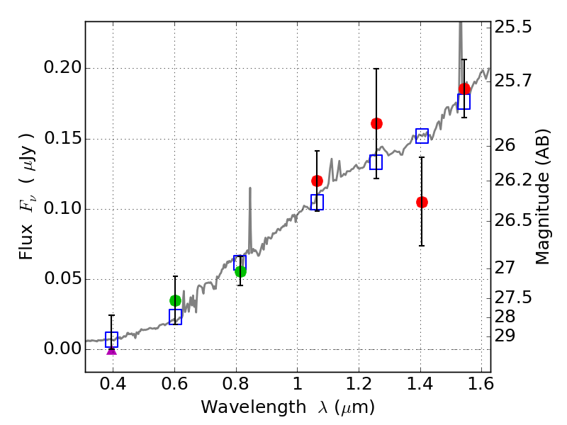
RXS0603+42-S IR detection object #463

Color images and BPZ results
Catalog: 463.cat
Black segments are analyzed here.   Roll mouse over color images to view segments.
Best viewed in a wide browser window (1200 pixels or more).   Download SED & P(z) plots to view larger versions.
In P(z) plots: Yellow lines mark the cluster redshift z = 0.228,  

Object #463   x,y = (3648, 2454)   RA, Dec = (06:03:20.232, 42:09:53.64) = (90.83430, 42.16490)   BPZ = 0.694 [0.373--2.900]   type = 6.30 (Sbc_B10 - Scd_B10)   stellarity = 0.00   chisq2 = 0.87   ODDS = 0.12   z_cluster = 0.228