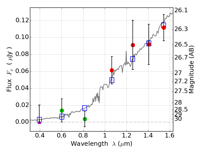
RXS0603+42-S IR detection object #460

Color images and BPZ results
Catalog: 460.cat
Black segments are analyzed here.   Roll mouse over color images to view segments.
Best viewed in a wide browser window (1200 pixels or more).   Download SED & P(z) plots to view larger versions.
In P(z) plots: Yellow lines mark the cluster redshift z = 0.228,  

Object #460   x,y = (2706, 2417)   RA, Dec = (06:03:25.320, 42:09:51.48) = (90.85550, 42.16430)   BPZ = 1.395 [1.058--7.922]   type = 6.00 (Sbc_B10)   stellarity = 0.00   chisq2 = 0.54   ODDS = 0.11   z_cluster = 0.228