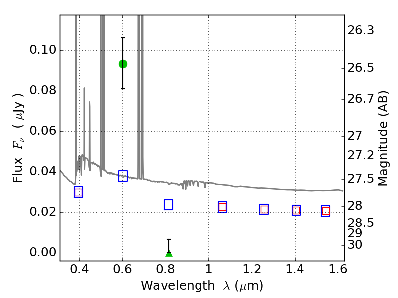
RXS0603+42-S IR detection object #876

Color images and BPZ results
Catalog: 876.cat
Black segments are analyzed here.   Roll mouse over color images to view segments.
Best viewed in a wide browser window (1200 pixels or more).   Download SED & P(z) plots to view larger versions.
In P(z) plots: Yellow lines mark the cluster redshift z = 0.228,  

Object #876   x,y = (3155, 3962)   RA, Dec = (06:03:22.872, 42:11:24.00) = (90.84530, 42.19000)   BPZ = 0.030 [0.039--3.278]   type = 11.00 (SB11_A_0_l)   stellarity = 0.06   chisq2 = 30.03   ODDS = 0.04   z_cluster = 0.228