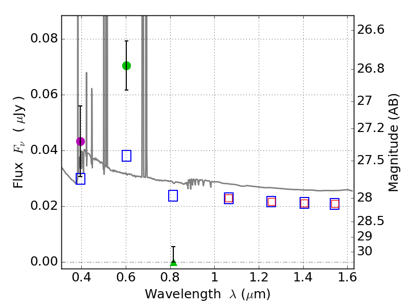
RXS0603+42-S IR detection object #790

Color images and BPZ results
Catalog: 790.cat
Black segments are analyzed here.   Roll mouse over color images to view segments.
Best viewed in a wide browser window (1200 pixels or more).   Download SED & P(z) plots to view larger versions.
In P(z) plots: Yellow lines mark the cluster redshift z = 0.228,  

Object #790   x,y = (1903, 4006)   RA, Dec = (06:03:29.640, 42:11:26.52) = (90.87350, 42.19070)   BPZ = 0.026 [0.024--2.686]   type = 11.00 (SB11_A_0_l)   stellarity = 0.37   chisq2 = 28.45   ODDS = 0.07   z_cluster = 0.228