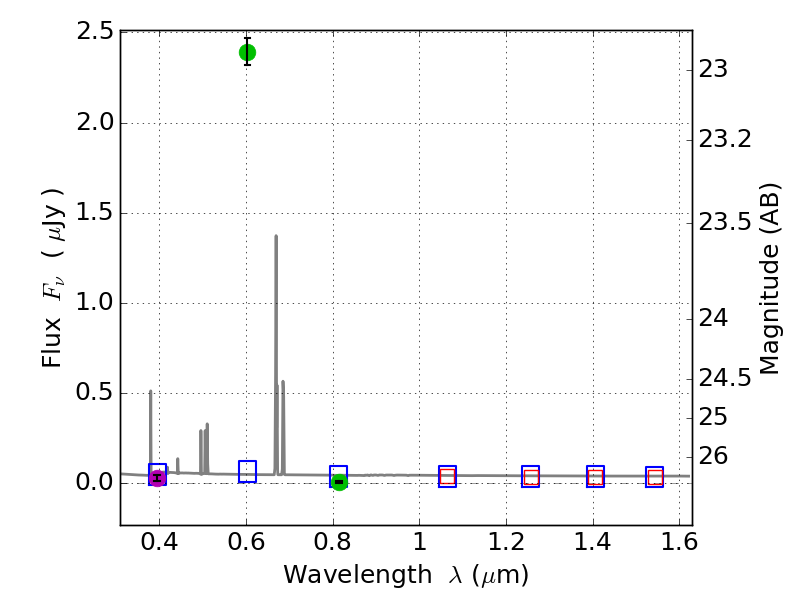
RXS0603+42-S IR detection object #6987

Color images and BPZ results
Catalog: 6987.cat
Black segments are analyzed here.   Roll mouse over color images to view segments.
Best viewed in a wide browser window (1200 pixels or more).   Download SED & P(z) plots to view larger versions.
In P(z) plots: Yellow lines mark the cluster redshift z = 0.228,  

Object #6987   x,y = (3172, 1125)   RA, Dec = (06:03:22.800, 42:08:33.72) = (90.84500, 42.14270)   BPZ = 0.025 [0.015--3.024]   type = 11.00 (SB11_A_0_l)   stellarity = 0.66   chisq2 = 1021.00   ODDS = 0.19   z_cluster = 0.228