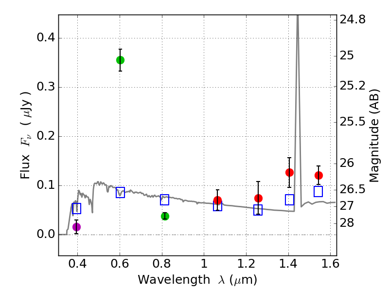
RXS0603+42-S IR detection object #6784

Color images and BPZ results
Catalog: 6784.cat
Black segments are analyzed here.   Roll mouse over color images to view segments.
Best viewed in a wide browser window (1200 pixels or more).   Download SED & P(z) plots to view larger versions.
In P(z) plots: Yellow lines mark the cluster redshift z = 0.228,  

Object #6784   x,y = (2848, 1235)   RA, Dec = (06:03:24.528, 42:08:40.56) = (90.85220, 42.14460)   BPZ = 2.878 [0.029--3.151]   type = 11.00 (SB11_A_0_l)   stellarity = 0.44   chisq2 = 40.09   ODDS = 0.60   z_cluster = 0.228